Putting It All Together: Advanced Plotting

Introduction to R For Biologists and Bioinformatics

Dr Stevie Pederson

Black Ochre Data Labs
Telethon Kids Institute

September 19, 2023

Using the
Tidyverse
Together

Using the Tidyverse

We’ve already learned a huge amount:

  1. Importing Data using readr
  2. Making plots with ggplot2
  3. Working with vectors and logical tests
  4. Using dplyr with spreadsheet-like data
  5. Joining functions together with |>
  • Next we’ll:
    • Use everything to make more detailed figures
    • Perform a few analyses
    • Utilise some features of tidyr

Section Setup

  1. Clear your R Environment
  2. Start a new R script: AdvancedPlotting.R
  3. Load the tidyverse
  4. Define a default ggplot2 theme
  5. Import Transport
library(tidyverse)
theme_set(theme_bw())
cols <- c(
    "gender", "name", "weight", "height", "method"
)
transport <- "data/transport.csv" |>
    read_csv(
        comment = "#",
        col_names = cols, 
        col_types = "-ccnnc"
    ) |>
    mutate(
        gender = case_when(
            gender == "F" ~ "female",
            gender == "M" ~ "male",
            TRUE ~ str_to_lower(gender)
        ),
        gender = as.factor(gender),
        method = factor(
            method, 
            levels = c("car", "bike")
        ),
        BMI = weight / (0.01 * height) ^ 2
    )

Section Outline

  • Using the pipe to create plots
  • Customising plots in detail
  • Reshaping data using tidyr

Visualising Data

Visualising Our Data

  • What might we like to show?
    • Relationship between weight & height?
    • Association with transportation method
    • Distributions of BMI?

A Simple X-Y Plot

  • When plotting, we can simply pipe the data into ggplot
transport |>
    ggplot(aes(height, weight)) +
    geom_point()

Adding Lines of Best Fit

  • Sometimes a regression line can be informative
    • geom_smooth() guesses the best line
    • method = 'loess' isn’t that great here
transport |>
    ggplot(aes(height, weight)) +
    geom_point() +
    geom_smooth()

Adding Regresion Lines

  • We can choose a linear regression line: method = "lm"
    • We fit linear regression in R using the function lm()
    • Hide the standard error of the regression line: se = FALSE
transport |>
    ggplot(aes(height, weight)) +
    geom_point() +
    geom_smooth(method = "lm", se =  FALSE)

Customising Parameters

  • We can change the colour of the line: colour = "black"
    • Anything set inside aes() should be a column in your data
    • Anything set outside of aes() should be a fixed-value
    • Can also set linetype, linewidth, alpha etc
transport |>
    ggplot(aes(height, weight)) +
    geom_point() +
    geom_smooth(
        method = "lm", se =  FALSE,
        colour = "black"
    )

Changing Shapes

  • Similarly for the points: colour = "grey30"
    • The range of shapes is visible using ?pch
    • For shapes 21-25 colour is outline, fill is the internal colour
transport |>
    ggplot(aes(height, weight)) +
    geom_point(colour = "grey30", shape = 1) +
    geom_smooth(
        method = "lm", se =  FALSE,
        colour = "black"
    )

Changing Shapes

  • We can also set any character to be the point shape
    • Additional parameters include size, alpha
transport |>
    ggplot(aes(height, weight)) +
    geom_point(
        colour = "grey30", shape = "#", size = 4
    ) +
    geom_smooth(
        method = "lm", se =  FALSE,
        colour = "black"
    )

Parameters Inside or Outside aes()

  • Parameters set outside aes() will over-ride anything inside aes()
    • We have globally set colour to depend on gender
    • This is overridden by both geom_point() and geom_smooth()
transport |>
    ggplot(
        aes(height, weight, colour = gender)
    ) +
    geom_point(
        colour = "grey30", shape = "#", size = 4
    ) +
    geom_smooth(
        method = "lm", se =  FALSE,
        colour = "black"
    )

Parameters Inside or Outside aes()

  • Now remove the colour from geom_point()
    • Inherits from the aes() within ggplot()
transport |>
    ggplot(
        aes(height, weight, colour = gender)
    ) +
    geom_point(shape = "#", size = 4) +
    geom_smooth(
        method = "lm", se =  FALSE,
        colour = "black"
    )

Custom Scales

  • Providing specific colours can take a vector
    • Can be named for greater control
transport |>
    ggplot(
        aes(height, weight, colour = gender)
    ) +
    geom_point(shape = "#", size = 4) +
    geom_smooth(
        method = "lm", se =  FALSE,
        colour = "black"
    ) +
    scale_colour_manual(
        values = c(
            female = "navyblue", male = "red3"
        )
    )

Custom Scales

  • Likewise for shapes
    • Values are applied in the same order as the legend
transport |>
    ggplot(
        aes(height, weight, colour = gender)
    ) +
    geom_point(
        aes(shape = gender), size = 4
    ) +
    geom_smooth(
        method = "lm", se =  FALSE,
        colour = "black"
    ) +
    scale_colour_manual(
        values = c(
            female = "navyblue", male = "red3"
        )
    ) +
    scale_shape_manual(
        values = c("F", "M")
    )

Adding Statistics

  • Sometimes we might wish to add summary statistics to plots
  • We can create on the fly inside a geom_
transport |>
    ggplot(aes(height, weight)) +
    geom_point(
        aes(colour = gender, shape = gender),
        size = 3
    ) +
    geom_smooth(
        method = "lm", se =  FALSE,
        colour = "black"
    ) +
    geom_label(
        aes(label = label),
        data = . %>% ## Only the magrittr works here
            summarise(
                cor = cor(weight, height),
                height = mean(height),
                ## Specify a position manually
                # height = 165, 
                weight = min(weight),
            )  %>% 
            mutate(
                label = paste("rho ==", round(cor, 2))
            ),
        parse = TRUE
    ) +
    scale_colour_manual(
        values = c(
            female = "navyblue", male = "red3"
        )
    ) +
    scale_shape_manual(
        values = c("F", "M")
    )

Using Additional Packages

  • There are multiple options for adding other labels
  • Add this to the top of your script
    \(\implies\) Make sure the package is loaded
library(ggpmisc)

Using Additional Packages

  • stat_poly_eq() can add \(R^2\), adjusted \(R^2\) or regression equations
transport |>
    ggplot(aes(height, weight)) +
    geom_point(
        aes(colour = gender, shape = gender), 
        size = 3
    ) +
    geom_smooth(
        method = "lm", se =  FALSE,
        colour = "black"
    ) +
    stat_poly_eq(use_label("eq")) +
    scale_colour_manual(
        values = c(
            female = "navyblue", male = "red3"
        )
    ) +
    scale_shape_manual(
        values = c("F", "M")
    )

Multiple Regression Equations

  • Combining with facets can provide multiple equations
transport |>
    ggplot(aes(height, weight)) +
    geom_point(
        aes(colour = gender, shape = gender), 
        size = 3
    ) +
    geom_smooth(
        method = "lm", se =  FALSE,
        colour = "black"
    ) +
    stat_poly_eq(use_label("eq")) +
    facet_wrap(~method) +
    scale_colour_manual(
        values = c(
            female = "navyblue", male = "red3"
        )
    ) +
    scale_shape_manual(
        values = c("F", "M")
    )

Modifying Data
Prior To Plotting

Summary Plots

  • So far we’ve just plotted the complete dataset
    • We did use %>% inside a geom_* to find a correlation…
  • We can also use our tidyverse tools to create summaries to plot
    • E.g. Barplots of the mean with error bars

Summary Plots

  • To create a barplot of the mean BMI across all groups
    • Need the mean BMI for each group
    • Also the standard deviation
transport |>
    summarise(
        mn_bmi = mean(BMI),
        sd_bmi = sd(BMI),
        .by = c(method, gender)
    )

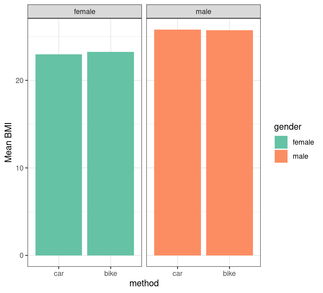
Creating a Barplot

  • Now we can create a barplot using geom_col()
transport |>
    summarise(
        mn_bmi = mean(BMI), sd_bmi = sd(BMI),
        .by = c(method, gender)
    ) |>
    ggplot(aes(method, mn_bmi, fill = gender)) +
    geom_col() +
    facet_wrap(~gender) +
    labs(y = "Mean BMI") +
    scale_fill_brewer(palette = "Set2") 

Adding Error Bars

  • We add error bars using geom_errorbar()
transport |>
    summarise(
        mn_bmi = mean(BMI), sd_bmi = sd(BMI),
        .by = c(method, gender)
    ) |>
    ggplot(aes(method, mn_bmi, fill = gender)) +
    geom_col() +
    geom_errorbar(
        aes(
            ymin = mn_bmi - sd_bmi,
            ymax = mn_bmi + sd_bmi
        ),
        width = 0.2
    ) +
    facet_wrap(~gender) +
    labs(y = "Mean BMI") +
    scale_fill_brewer(palette = "Set2") 

Adding Error Bars

  • If we choose not to facet it’s much trickier
    • Let’s hide the error bars to see why
transport |>
    summarise(
        mn_bmi = mean(BMI), sd_bmi = sd(BMI),
        .by = c(method, gender)
    ) |>
    ggplot(aes(method, mn_bmi, fill = gender)) +
    geom_col(position = "dodge") +
    labs(y = "Mean BMI") +
    scale_fill_brewer(palette = "Set2") 

Adding Error Bars

  • Adding position = "dodge" separates the bars horizontally
  • What is the x co-ordinate for each bar now?
  • What is the width of each bar?

Plotting with Factors

  • Let’s try coerce factors to integers
transport |>
    summarise(
        mn_bmi = mean(BMI), sd_bmi = sd(BMI),
        .by = c(method, gender)
    ) |>
    mutate(
        method_int = as.integer(method),
        gender_int = as.integer(gender)
    )
# A tibble: 4 × 6
  method gender mn_bmi sd_bmi method_int gender_int
  <fct>  <fct>   <dbl>  <dbl>      <int>      <int>
1 car    female   23.0  1.14           1          1
2 bike   female   23.3  0.961          2          1
3 bike   male     25.7  1.47           2          2
4 car    male     25.8  0.799          1          2

Plotting with Factors

  • Each factor level is assigned an integer starting at 1
    • These were how ggplot originally placed the x co-ordinates
  • Can we figure out our x-co-ordinates yet?
  • I guesstimated that each bar had a width of 0.45
    • The centre of each bar is method_int \(\pm\) 0.225
  • I also wish it was easier
    • Maybe I just haven’t found the right package/function yet

Plotting with Factors

transport |>
    summarise(
        mn_bmi = mean(BMI), sd_bmi = sd(BMI),
        .by = c(method, gender)
    ) |>
    mutate(
        method_int = as.integer(method),
        gender_int = as.integer(gender),
        x = case_when(
            gender == "female" ~ method_int - 0.225,
            gender == "male" ~ method_int + 0.225,
        )
    )
# A tibble: 4 × 7
  method gender mn_bmi sd_bmi method_int gender_int     x
  <fct>  <fct>   <dbl>  <dbl>      <int>      <int> <dbl>
1 car    female   23.0  1.14           1          1 0.775
2 bike   female   23.3  0.961          2          1 1.78 
3 bike   male     25.7  1.47           2          2 2.22 
4 car    male     25.8  0.799          1          2 1.23 

Plotting with Factors

transport |>
    summarise(
        mn_bmi = mean(BMI), sd_bmi = sd(BMI),
        .by = c(method, gender)
    ) |>
    mutate(
        method_int = as.integer(method),
        x = case_when(
            gender == "female" ~ method_int - 0.225,
            gender == "male" ~ method_int + 0.225,
        )
    ) |>
    ggplot(aes(method, mn_bmi, fill = gender)) +
    geom_col(position = "dodge") +
    geom_errorbar(
        aes(
            x = x,
            ymin = mn_bmi - sd_bmi,
            ymax = mn_bmi + sd_bmi
        ),
        width = 0.1
    ) +
    labs(y = "Mean BMI") +
    scale_fill_brewer(palette = "Set2") 

Modifying Axes

  • That space at the bottom of the y-axis bother me
    • By default axes expand the data by ~5% of the range
  • We can control the expansion
    • Using multiplicative scaling (continuous data)
    • Using Additive Scaling (discrete data)
  • The relevant function is called expansion()
    • Is passed to the expand argument inside scale_x/y_*()

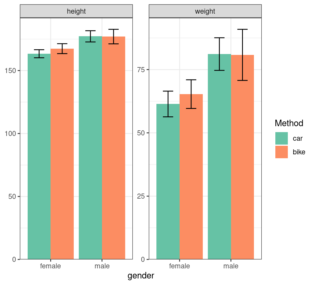
Modifying Axes

  • We also label them using the name argument
transport |>
    summarise(
        mn_bmi = mean(BMI), sd_bmi = sd(BMI),
        .by = c(method, gender)
    ) |>
    mutate(
        method_int = as.integer(method),
        x = case_when(
            gender == "female" ~ method_int - 0.225,
            gender == "male" ~ method_int + 0.225,
        )
    ) |>
    ggplot(aes(method, mn_bmi, fill = gender)) +
    geom_col(position = "dodge") +
    geom_errorbar(
        aes(
            x = x,
            ymin = mn_bmi - sd_bmi,
            ymax = mn_bmi + sd_bmi
        ), width = 0.1
    ) +
    scale_fill_brewer(
        palette = "Set2", name = "Gender"
    ) +
    scale_y_continuous(
        expand = expansion(c(0, 0.05)), 
        name = "Mean BMI"
    )

More Complex Summaries

  • So far we only visualised the mean BMI values across the dataset
  • Let’s try and repeat for both weight and height on the same figure
    • May not be brilliant in reality
transport |>
    summarise(
        across(
            ends_with("ght"),
            .fns = c(mn = mean, sd = sd)
        ),
        .by = c(method, gender)
    ) 
# A tibble: 4 × 6
  method gender weight_mn weight_sd height_mn height_sd
  <fct>  <fct>      <dbl>     <dbl>     <dbl>     <dbl>
1 car    female      61.4      5.08      163.      3.20
2 bike   female      65.3      5.66      167.      3.95
3 bike   male        80.8     10.1       177.      5.77
4 car    male        81.1      6.44      177.      4.45


Can we get the means into one column and sd into another?

Reshaping Data

  • pivot_longer() enables shifting from wide to long form
  • Choose the columns to run down the page
    • Original column names go into one column
    • All values go into another
transport |>
    summarise(
        across(
            ends_with("ght"),
            .fns = c(mn = mean, sd = sd)
        ),
        .by = c(method, gender)
    ) |>
    pivot_longer(cols = contains("_")) 
# A tibble: 16 × 4
   method gender name       value
   <fct>  <fct>  <chr>      <dbl>
 1 car    female weight_mn  61.4 
 2 car    female weight_sd   5.08
 3 car    female height_mn 163.  
 4 car    female height_sd   3.20
 5 bike   female weight_mn  65.3 
 6 bike   female weight_sd   5.66
 7 bike   female height_mn 167.  
 8 bike   female height_sd   3.95
 9 bike   male   weight_mn  80.8 
10 bike   male   weight_sd  10.1 
11 bike   male   height_mn 177.  
12 bike   male   height_sd   5.77
13 car    male   weight_mn  81.1 
14 car    male   weight_sd   6.44
15 car    male   height_mn 177.  
16 car    male   height_sd   4.45

Reshaping Data

  • We can now separate() the values in name
    • into = c("stat", "type") defines the new column names
transport |>
    summarise(
        across(
            ends_with("ght"),
            .fns = c(mn = mean, sd = sd)
        ),
        .by = c(method, gender)
    ) |>
    pivot_longer(cols = contains("_")) |>
    separate(
        name, into = c("stat", "type"), 
        sep = "_"
    )
# A tibble: 16 × 5
   method gender stat   type   value
   <fct>  <fct>  <chr>  <chr>  <dbl>
 1 car    female weight mn     61.4 
 2 car    female weight sd      5.08
 3 car    female height mn    163.  
 4 car    female height sd      3.20
 5 bike   female weight mn     65.3 
 6 bike   female weight sd      5.66
 7 bike   female height mn    167.  
 8 bike   female height sd      3.95
 9 bike   male   weight mn     80.8 
10 bike   male   weight sd     10.1 
11 bike   male   height mn    177.  
12 bike   male   height sd      5.77
13 car    male   weight mn     81.1 
14 car    male   weight sd      6.44
15 car    male   height mn    177.  
16 car    male   height sd      4.45

Reshaping Data

  • The opposite of pivot_longer() is pivot_wider()
transport |>
    summarise(
        across(
            ends_with("ght"),
            .fns = c(mn = mean, sd = sd)
        ),
        .by = c(method, gender)
    ) |>
    pivot_longer(cols = contains("_")) |>
    separate(
        name, into = c("stat", "type"), 
        sep = "_"
    ) |>
    pivot_wider(
        names_from = "type",
        values_from = "value"
    )
# A tibble: 8 × 5
  method gender stat      mn    sd
  <fct>  <fct>  <chr>  <dbl> <dbl>
1 car    female weight  61.4  5.08
2 car    female height 163.   3.20
3 bike   female weight  65.3  5.66
4 bike   female height 167.   3.95
5 bike   male   weight  80.8 10.1 
6 bike   male   height 177.   5.77
7 car    male   weight  81.1  6.44
8 car    male   height 177.   4.45


Now we have something we can use for barplots with errorbars

Reshaping Data

  • For the sake of brevity going forward, save that as summ_df
summ_df <- transport |>
    summarise(
        across(
            ends_with("ght"),
            .fns = c(mn = mean, sd = sd)
        ),
        .by = c(method, gender)
    ) |>
    pivot_longer(cols = contains("_")) |>
    separate(
        name, into = c("stat", "type"), 
        sep = "_"
    ) |>
    pivot_wider(
        names_from = "type",
        values_from = "value"
    )

Plotting Multiple Summaries

  • Hide the y-axis name using name = c()
summ_df |>
    mutate(
        gender_int = as.numeric(gender),
        x_bar = case_when(
            method == "car" ~ gender_int - 0.225,
            method == "bike" ~ gender_int + 0.225
        )
    ) |>
    ggplot(aes(gender, mn, fill = method)) +
    geom_col(position = "dodge") +
    geom_errorbar(
        aes(
            x = x_bar,
            ymin = mn - sd, ymax = mn + sd
        ),
        width = 0.2
    )  +
    facet_wrap(~stat, scales = "free_y") +
    scale_fill_brewer(
        palette = "Set2", name = "Method"
    ) +
    scale_y_continuous(
        expand = expansion(c(0, 0.05)), 
        name = c()
    ) 

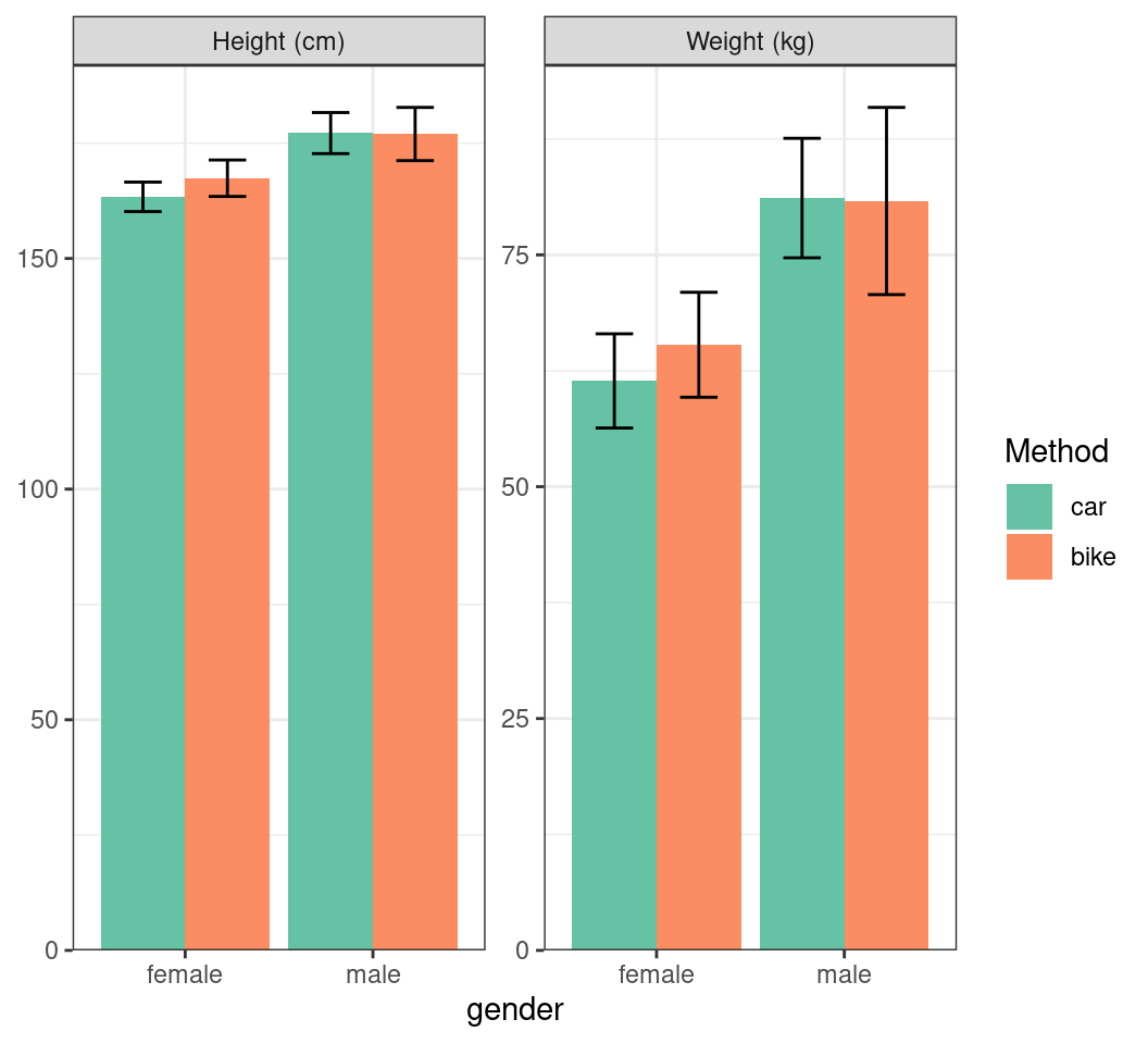
Plotting Multiple Summaries

  • Add the units to the facet names
summ_df |>
    mutate(
        gender_int = as.numeric(gender),
        x_bar = case_when(
            method == "car" ~ gender_int - 0.225,
            method == "bike" ~ gender_int + 0.225
        ),
        stat = stat |>
            str_replace("height", "Height (cm)") |>
            str_replace("weight", "Weight (kg)")
    ) |>
    ggplot(aes(gender, mn, fill = method)) +
    geom_col(position = "dodge") +
    geom_errorbar(
        aes(
            x = x_bar,
            ymin = mn - sd, ymax = mn + sd
        ),
        width = 0.2
    )  +
    facet_wrap(~stat, scales = "free_y") +
    scale_fill_brewer(
        palette = "Set2", name = "Method"
    ) +
    scale_y_continuous(
        expand = expansion(c(0, 0.05)), name = c()
    ) 

Themes

Using Themes

  • The overall plot appearance can be set using theme()
  • A bit overwhelming, but very customisable
  • Let’s save our existing plot a p
    • Can be drawn again at anytime by entering p
    • Can still be modified on on-the-fly
p <- summ_df |>
    mutate(
        gender_int = as.numeric(gender),
        x_bar = case_when(
            method == "car" ~ gender_int - 0.225,
            method == "bike" ~ gender_int + 0.225
        ),
        stat = stat |>
            str_replace("height", "Height (cm)") |>
            str_replace("weight", "Weight (kg)")
    ) |>
    ggplot(aes(gender, mn, fill = method)) +
    geom_col(position = "dodge") +
    geom_errorbar(
        aes(
            x = x_bar,
            ymin = mn - sd, ymax = mn + sd
        ),
        width = 0.2
    )  +
    facet_wrap(~stat, scales = "free_y") +
    xlab("Gender") +
    scale_fill_brewer(
        palette = "Set2", name = "Method"
    ) +
    scale_y_continuous(
        expand = expansion(c(0, 0.05)), name = c()
    ) 

Using Themes

  • If we try to add a title, it’s aligned left
p + ggtitle("Weight and Height Across Participants")

Using Themes

  • Most theme() elements have their own modification functions
    • text: element_text()
    • lines: element_line()
    • rectangles: element_rect()
  • All can be removed using element_blank
  • The plot title needs element_text()

Using Themes

  • hjust controls the horizontal adjustment
    • hjust = 0.5 is centre-aligned
p + 
    ggtitle("Weight and Height Across Participants") +
    theme(plot.title = element_text(hjust = 0.5))

Using Themes

  • We can resize all primary text
p + 
    ggtitle("Weight and Height Across Participants") +
    theme(
        text = element_text(size = 14),
        plot.title = element_text(hjust = 0.5)
    )

Using Themes

  • Control legend position
    • Doesn’t need an element_*() function
p + 
    ggtitle("Weight and Height Across Participants") +
    theme(
        text = element_text(size = 14),
        plot.title = element_text(hjust = 0.5),
        legend.position = "bottom"
    )

Using Themes

  • Hide the background grid & rotates x-axis text
p + 
    ggtitle("Weight and Height Across Participants") +
    theme(
        text = element_text(size = 14),
        plot.title = element_text(hjust = 0.5),
        legend.position = "bottom",
        panel.grid = element_blank(),
        axis.text.x = element_text(
            angle = 90, vjust = 0.5, hjust = 1
        )
    )

Exporting Plots

  • Making plots in R is nice
    \(\implies\) How do we get them into our paper??!!!
  • ggsave() will save the last plot
    • The file extension will determine the format
    • Can be png, jpg, pdf, svg, tiff etc
    • width & height default to inches but can be changed
  • Getting font sizes right can be infuriating
    • Always add the save after you create the plot
    • Open immediately and check the font sizes

Closing Comments

  • Can now (hopefully) make the figures for our next paper
  • ggplot2 is very powerful \(\implies\) takes a long time to master
  • Getting data structured correctly is an important part
  • Note that once we loaded data \(\implies\) never modified
  • We saved four objects
    • cols, transport, summ_df, p
    • The last two were only to fit the code on slides
  • This keeps a clean workspace
    • No need for transport, transport1, transport1_mod etc
    • Very beneficial for reproducibility