library(tidyverse)
library(magrittr)
library(edgeR)
library(AnnotationHub)
library(rtracklayer)
library(plyranges)
library(patchwork)
library(scales)
library(glue)
library(ggrepel)
library(pheatmap)
library(parallel)
theme_set(theme_bw())RAdelaide 2024
July 11, 2024

ah <- AnnotationHub()
ah %>% subset(dataprovider == "Gencode" & genome == "GRCh38") %>% query("v31")AnnotationHub with 9 records
# snapshotDate(): 2024-04-30
# $dataprovider: Gencode
# $species: Homo sapiens
# $rdataclass: GRanges
# additional mcols(): taxonomyid, genome, description,
# coordinate_1_based, maintainer, rdatadateadded, preparerclass, tags,
# rdatapath, sourceurl, sourcetype
# retrieve records with, e.g., 'object[["AH75118"]]'
title
AH75118 | gencode.v31.2wayconspseudos.gff3.gz
AH75119 | gencode.v31.annotation.gff3.gz
AH75120 | gencode.v31.basic.annotation.gff3.gz
AH75121 | gencode.v31.chr_patch_hapl_scaff.annotation.gff3.gz
AH75122 | gencode.v31.chr_patch_hapl_scaff.basic.annotation.gff3.gz
AH75123 | gencode.v31.long_noncoding_RNAs.gff3.gz
AH75124 | gencode.v31.polyAs.gff3.gz
AH75125 | gencode.v31.primary_assembly.annotation.gff3.gz
AH75126 | gencode.v31.tRNAs.gff3.gz
gtf <- ah[["AH75121"]] # This will take several minutes
genes <- gtf %>%
filter(type == "gene") %>%
select(starts_with("gene"))
genesGRanges object with 66738 ranges and 3 metadata columns:
seqnames ranges strand | gene_id gene_type gene_name
<Rle> <IRanges> <Rle> | <character> <character> <character>
[1] chr1 11869-14409 + | ENSG00000223972.5 transcribed_unproces.. DDX11L1
[2] chr1 14404-29570 - | ENSG00000227232.5 unprocessed_pseudogene WASH7P
[3] chr1 17369-17436 - | ENSG00000278267.1 miRNA MIR6859-1
[4] chr1 29554-31109 + | ENSG00000243485.5 lncRNA MIR1302-2HG
[5] chr1 30366-30503 + | ENSG00000284332.1 miRNA MIR1302-2
... ... ... ... . ... ... ...
[66734] KI270734.1 72411-74814 + | ENSG00000276017.1 protein_coding AC007325.1
[66735] KI270734.1 131494-137392 + | ENSG00000278817.1 protein_coding AC007325.4
[66736] KI270734.1 138082-161852 - | ENSG00000277196.4 protein_coding AC007325.2
[66737] KI270744.1 51009-51114 - | ENSG00000278625.1 snRNA RF00026
[66738] KI270750.1 148668-148843 + | ENSG00000277374.1 snRNA RF00003
-------
seqinfo: 407 sequences from an unspecified genome; no seqlengths
featureCounts (Liao, Smyth, and Shi 2014)
# A tibble: 6 × 18
Geneid Chr Start End Strand Length `1_control` `6_control` `11_control` `2_Nsp6` `7_Nsp6`
<chr> <chr> <chr> <chr> <chr> <dbl> <dbl> <dbl> <dbl> <dbl> <dbl>
1 ENSG000000… chrX… 1006… 1006… -;-;-… 4535 5211 6192 4542 4328 5283
2 ENSG000000… chrX… 1005… 1005… +;+;+… 1476 65 178 96 50 86
3 ENSG000000… chr2… 5093… 5093… -;-;-… 1207 1454 1889 1329 1472 1684
4 ENSG000000… chr1… 1698… 1698… -;-;-… 6883 628 548 522 560 636
5 ENSG000000… chr1… 1696… 1696… +;+;+… 5970 191 241 150 146 254
6 ENSG000000… chr1… 2761… 2761… -;-;-… 3382 0 0 0 0 0
# ℹ 7 more variables: `12_Nsp6` <dbl>, `3_Nsp8` <dbl>, `8_Nsp8` <dbl>, `13_Nsp8` <dbl>,
# `4_M` <dbl>, `9_M` <dbl>, `14_M` <dbl>
Which columns do we need? How would you parse them?
counts <- read_tsv("data/GSE171742_counts.out.gz") %>%
dplyr::select(Geneid, contains("_")) %>%
as.data.frame() %>%
column_to_rownames("Geneid") %>%
as.matrix()
glimpse(counts) num [1:66738, 1:12] 5211 65 1454 628 191 ...
- attr(*, "dimnames")=List of 2
..$ : chr [1:66738] "ENSG00000000003.14" "ENSG00000000005.6" "ENSG00000000419.12" "ENSG00000000457.14" ...
..$ : chr [1:12] "1_control" "6_control" "11_control" "2_Nsp6" ...
[1] "ENSG00000002586.20_PAR_Y" "ENSG00000124333.16_PAR_Y" "ENSG00000124334.17_PAR_Y"
[4] "ENSG00000167393.17_PAR_Y" "ENSG00000168939.11_PAR_Y" "ENSG00000169084.14_PAR_Y"
[7] "ENSG00000169093.16_PAR_Y" "ENSG00000169100.14_PAR_Y" "ENSG00000178605.13_PAR_Y"
[10] "ENSG00000182162.11_PAR_Y" "ENSG00000182378.14_PAR_Y" "ENSG00000182484.15_PAR_Y"
[13] "ENSG00000185203.12_PAR_Y" "ENSG00000185291.11_PAR_Y" "ENSG00000185960.14_PAR_Y"
[16] "ENSG00000196433.13_PAR_Y" "ENSG00000197976.12_PAR_Y" "ENSG00000198223.16_PAR_Y"
[19] "ENSG00000205755.11_PAR_Y" "ENSG00000214717.12_PAR_Y" "ENSG00000223274.6_PAR_Y"
[22] "ENSG00000223484.7_PAR_Y" "ENSG00000223511.7_PAR_Y" "ENSG00000223571.6_PAR_Y"
[25] "ENSG00000223773.7_PAR_Y" "ENSG00000225661.7_PAR_Y" "ENSG00000226179.6_PAR_Y"
[28] "ENSG00000227159.8_PAR_Y" "ENSG00000228410.6_PAR_Y" "ENSG00000228572.7_PAR_Y"
[31] "ENSG00000229232.6_PAR_Y" "ENSG00000230542.6_PAR_Y" "ENSG00000234622.6_PAR_Y"
[34] "ENSG00000234958.6_PAR_Y" "ENSG00000236017.8_PAR_Y" "ENSG00000236871.7_PAR_Y"
[37] "ENSG00000237040.6_PAR_Y" "ENSG00000237531.6_PAR_Y" "ENSG00000237801.6_PAR_Y"
[40] "ENSG00000265658.6_PAR_Y" "ENSG00000270726.6_PAR_Y" "ENSG00000275287.5_PAR_Y"
[43] "ENSG00000277120.5_PAR_Y" "ENSG00000280767.3_PAR_Y" "ENSG00000281849.3_PAR_Y"
GRanges object with 2 ranges and 4 metadata columns:
seqnames ranges strand | gene_id gene_type gene_name length
<Rle> <IRanges> <Rle> | <character> <character> <character> <integer>
[1] chrX 2691187-2741309 + | ENSG00000002586.20 protein_coding CD99 9716
[2] chrY 2691187-2741309 + | ENSG00000002586.20 protein_coding CD99 9716
-------
seqinfo: 407 sequences from an unspecified genome; no seqlengths
genes <- genes %>%
mutate(
gene_id = case_when(
duplicated(gene_id) ~ paste0(gene_id, "_PAR_Y"),
TRUE ~ gene_id
)
)
subset(genes, duplicated(gene_id))GRanges object with 0 ranges and 4 metadata columns:
seqnames ranges strand | gene_id gene_type gene_name length
<Rle> <IRanges> <Rle> | <character> <character> <character> <integer>
-------
seqinfo: 407 sequences from an unspecified genome; no seqlengths
edgeR for DGE analysis (Robinson, McCarthy, and Smyth 2010)S4 object
DGEList: Digital Gene Expression Listdata.frame objectsDESeq2 is a common alternative (Love, Huber, and Anders 2014)SummarizedExperiment objectssamples <- tibble(id = colnames(counts)) %>%
separate(id, into = c("replicate", "treatment"), remove = FALSE) %>%
mutate(
treatment = as.factor(treatment),
group = as.integer(treatment)
)
samples# A tibble: 12 × 4
id replicate treatment group
<chr> <chr> <fct> <int>
1 1_control 1 control 1
2 6_control 6 control 1
3 11_control 11 control 1
4 2_Nsp6 2 Nsp6 3
5 7_Nsp6 7 Nsp6 3
6 12_Nsp6 12 Nsp6 3
7 3_Nsp8 3 Nsp8 4
8 8_Nsp8 8 Nsp8 4
9 13_Nsp8 13 Nsp8 4
10 4_M 4 M 2
11 9_M 9 M 2
12 14_M 14 M 2
GRanges object with 66738 ranges and 4 metadata columns:
seqnames ranges strand | gene_id gene_type
<Rle> <IRanges> <Rle> | <character> <character>
ENSG00000000003.14 chrX 100627109-100639991 - | ENSG00000000003.14 protein_coding
ENSG00000000005.6 chrX 100584936-100599885 + | ENSG00000000005.6 protein_coding
ENSG00000000419.12 chr20 50934867-50958555 - | ENSG00000000419.12 protein_coding
ENSG00000000457.14 chr1 169849631-169894267 - | ENSG00000000457.14 protein_coding
ENSG00000000460.17 chr1 169662007-169854080 + | ENSG00000000460.17 protein_coding
... ... ... ... . ... ...
ENSG00000288107.1 chr10 133565797-133629507 + | ENSG00000288107.1 lncRNA
ENSG00000288108.1 chr5 1931058-1933985 - | ENSG00000288108.1 lncRNA
ENSG00000288109.1 chr17 67658015-67659465 - | ENSG00000288109.1 lncRNA
ENSG00000288110.1 chr8 4496392-4503392 + | ENSG00000288110.1 lncRNA
ENSG00000288111.1 chr3 130181346-130188814 + | ENSG00000288111.1 lncRNA
gene_name length
<character> <integer>
ENSG00000000003.14 TSPAN6 4535
ENSG00000000005.6 TNMD 1476
ENSG00000000419.12 DPM1 1207
ENSG00000000457.14 SCYL3 6883
ENSG00000000460.17 C1orf112 5970
... ... ...
ENSG00000288107.1 AL731769.2 5662
ENSG00000288108.1 AC126768.3 509
ENSG00000288109.1 AC079331.3 748
ENSG00000288110.1 AC010941.1 2417
ENSG00000288111.1 AC130888.1 454
-------
seqinfo: 407 sequences from an unspecified genome; no seqlengths
dge <- DGEList(
counts = counts,
samples = tibble(id = colnames(counts)) %>% left_join(samples),
genes = genes %>%
setNames(.$gene_id) %>%
.[rownames(counts)] %>%
as.data.frame(row.names = names(.))
)
dgeAn object of class "DGEList"
$counts
1_control 6_control 11_control 2_Nsp6 7_Nsp6 12_Nsp6 3_Nsp8 8_Nsp8 13_Nsp8 4_M
ENSG00000000003.14 5211 6192 4542 4328 5283 4336 4330 5208 4635 4743
ENSG00000000005.6 65 178 96 50 86 83 67 92 80 51
ENSG00000000419.12 1454 1889 1329 1472 1684 1368 1666 2042 1707 1822
ENSG00000000457.14 628 548 522 560 636 492 530 500 498 622
ENSG00000000460.17 191 241 150 146 254 164 161 179 183 173
9_M 14_M
ENSG00000000003.14 5498 5172
ENSG00000000005.6 70 64
ENSG00000000419.12 2293 1987
ENSG00000000457.14 513 560
ENSG00000000460.17 256 228
66733 more rows ...
$samples
group lib.size norm.factors id replicate treatment
1_control 1 38633196 1 1_control 1 control
6_control 1 48184412 1 6_control 6 control
11_control 1 34566631 1 11_control 11 control
2_Nsp6 3 33088151 1 2_Nsp6 2 Nsp6
7_Nsp6 3 41621703 1 7_Nsp6 7 Nsp6
7 more rows ...
$genes
seqnames start end width strand gene_id gene_type
ENSG00000000003.14 chrX 100627109 100639991 12883 - ENSG00000000003.14 protein_coding
ENSG00000000005.6 chrX 100584936 100599885 14950 + ENSG00000000005.6 protein_coding
ENSG00000000419.12 chr20 50934867 50958555 23689 - ENSG00000000419.12 protein_coding
ENSG00000000457.14 chr1 169849631 169894267 44637 - ENSG00000000457.14 protein_coding
ENSG00000000460.17 chr1 169662007 169854080 192074 + ENSG00000000460.17 protein_coding
gene_name length
ENSG00000000003.14 TSPAN6 4535
ENSG00000000005.6 TNMD 1476
ENSG00000000419.12 DPM1 1207
ENSG00000000457.14 SCYL3 6883
ENSG00000000460.17 C1orf112 5970
66733 more rows ...
[1] 66738 12
[1] 66738 12
[1] 12 6
[1] 66738 9
samples is column metadata \(\implies\) genes is row metadatadge$samples %>%
ggplot(aes(replicate, lib.size / 1e6, fill = treatment)) +
geom_col() +
facet_wrap(~treatment, nrow = 1, scales = "free_x") +
labs(x = "Sample", y = "Library Size (millions)", fill = "Treatment") +
scale_y_continuous(expand = expansion(c(0, 0.05))) +
scale_fill_brewer(palette = "Set1")dge$samples %>%
ggplot(aes(replicate, lib.size / 1e6, fill = treatment)) +
geom_col() +
geom_hline(
aes(yintercept = lib.size),
data = . %>% summarise(lib.size = mean(lib.size / 1e6)),
linetype = 2, colour = "grey30"
) +
facet_wrap(~treatment, nrow = 1, scales = "free_x") +
labs(x = "Sample", y = "Library Size (millions)", fill = "Treatment") +
scale_y_continuous(expand = expansion(c(0, 0.05))) +
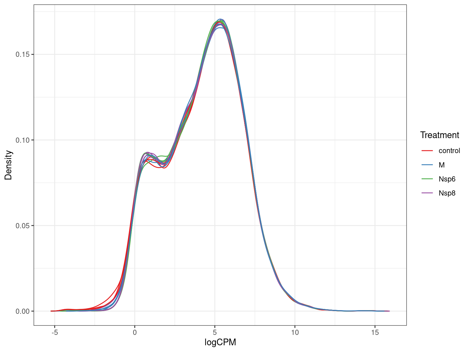
scale_fill_brewer(palette = "Set1")edgeR provides a function filterByExpr()min.count \(\times 1e6\) / median(lib.size)A <- dge$counts %>%
cpm(log = TRUE) %>%
as_tibble(rownames = "gene_id") %>%
pivot_longer(-all_of("gene_id"), names_to = "id", values_to = "logCPM") %>%
left_join(dge$samples) %>%
ggplot(aes(logCPM, after_stat(density), group = id)) +
geom_density(aes(colour = treatment)) +
ggtitle(glue("Before Filtering: {comma(length(keep))} genes")) +
labs(y = "Density", colour = "Treatment") +
scale_colour_brewer(palette = "Set1")
B <- dge$counts[keep,] %>%
cpm(log = TRUE) %>%
as_tibble(rownames = "gene_id") %>%
pivot_longer(-all_of("gene_id"), names_to = "id", values_to = "logCPM") %>%
left_join(dge$samples) %>%
ggplot(aes(logCPM, after_stat(density), group = id)) +
geom_density(aes(colour = treatment)) +
ggtitle(glue("After Filtering: {comma(sum(keep))} genes")) +
labs(y = "Density", colour = "Treatment") +
scale_colour_brewer(palette = "Set1")
A + B + plot_layout(guides = "collect", axes = "collect")counts & genes correctly
An object of class "DGEList"
$counts
1_control 6_control 11_control 2_Nsp6 7_Nsp6 12_Nsp6 3_Nsp8 8_Nsp8 13_Nsp8 4_M
ENSG00000000003.14 5211 6192 4542 4328 5283 4336 4330 5208 4635 4743
ENSG00000000005.6 65 178 96 50 86 83 67 92 80 51
ENSG00000000419.12 1454 1889 1329 1472 1684 1368 1666 2042 1707 1822
ENSG00000000457.14 628 548 522 560 636 492 530 500 498 622
ENSG00000000460.17 191 241 150 146 254 164 161 179 183 173
9_M 14_M
ENSG00000000003.14 5498 5172
ENSG00000000005.6 70 64
ENSG00000000419.12 2293 1987
ENSG00000000457.14 513 560
ENSG00000000460.17 256 228
13891 more rows ...
$samples
group lib.size norm.factors id replicate treatment
1_control 1 38633196 1 1_control 1 control
6_control 1 48184412 1 6_control 6 control
11_control 1 34566631 1 11_control 11 control
2_Nsp6 3 33088151 1 2_Nsp6 2 Nsp6
7_Nsp6 3 41621703 1 7_Nsp6 7 Nsp6
7 more rows ...
$genes
seqnames start end width strand gene_id gene_type
ENSG00000000003.14 chrX 100627109 100639991 12883 - ENSG00000000003.14 protein_coding
ENSG00000000005.6 chrX 100584936 100599885 14950 + ENSG00000000005.6 protein_coding
ENSG00000000419.12 chr20 50934867 50958555 23689 - ENSG00000000419.12 protein_coding
ENSG00000000457.14 chr1 169849631 169894267 44637 - ENSG00000000457.14 protein_coding
ENSG00000000460.17 chr1 169662007 169854080 192074 + ENSG00000000460.17 protein_coding
gene_name length
ENSG00000000003.14 TSPAN6 4535
ENSG00000000005.6 TNMD 1476
ENSG00000000419.12 DPM1 1207
ENSG00000000457.14 SCYL3 6883
ENSG00000000460.17 C1orf112 5970
13891 more rows ...
edgeR is TMM (Robinson and Oshlack 2010)DESeq2 uses RLE normalisation
edgeR is a Negative Binomial Model
\[ \log (y_{gi} / L_i) = \beta_0 + \beta_1 + ... \]
\[ \log (y_{gi} / L^*_i) = \beta_0 + \beta_1 + ... \]
group lib.size norm.factors id replicate treatment
1_control 1 38633196 0.9943180 1_control 1 control
6_control 1 48184412 0.9770121 6_control 6 control
11_control 1 34566631 0.9883140 11_control 11 control
2_Nsp6 3 33088151 1.0157571 2_Nsp6 2 Nsp6
7_Nsp6 3 41621703 0.9963827 7_Nsp6 7 Nsp6
12_Nsp6 3 32724713 1.0060007 12_Nsp6 12 Nsp6
3_Nsp8 4 33502022 1.0076816 3_Nsp8 3 Nsp8
8_Nsp8 4 41364663 0.9977052 8_Nsp8 8 Nsp8
13_Nsp8 4 36288023 1.0027832 13_Nsp8 13 Nsp8
4_M 2 36851725 1.0081808 4_M 4 M
9_M 2 41546877 0.9987653 9_M 9 M
14_M 2 43587502 1.0076991 14_M 14 M
edgeR offers plotMDS() for quick explorationImportance of components:
PC1 PC2 PC3 PC4 PC5 PC6 PC7 PC8 PC9
Standard deviation 66.6493 50.4749 45.2310 31.7401 29.3998 25.88752 24.74707 21.51801 20.94233
Proportion of Variance 0.3197 0.1833 0.1472 0.0725 0.0622 0.04823 0.04407 0.03332 0.03156
Cumulative Proportion 0.3197 0.5030 0.6502 0.7227 0.7849 0.83316 0.87723 0.91056 0.94212
PC10 PC11 PC12
Standard deviation 20.27916 19.82675 2.753e-13
Proportion of Variance 0.02959 0.02829 0.000e+00
Cumulative Proportion 0.97171 1.00000 1.000e+00
pca %>%
broom::tidy() %>%
pivot_wider(names_from = "PC", names_prefix = "PC", values_from = "value") %>%
dplyr::rename(id = row) %>%
left_join(dge_filter$samples) %>%
ggplot(aes(PC1, PC2, colour = treatment)) +
geom_point() +
geom_text_repel(aes(label = id), show.legend = FALSE) +
labs(
x = glue("PC1 ({percent(prop_var['PC1'])} Variance)"),
y = glue("PC2 ({percent(prop_var['PC2'])} Variance)"),
colour = "Treatment"
) +
scale_colour_brewer(palette = "Set1") (Intercept) treatmentM treatmentNsp6 treatmentNsp8
1_control 1 0 0 0
6_control 1 0 0 0
11_control 1 0 0 0
2_Nsp6 1 0 1 0
7_Nsp6 1 0 1 0
12_Nsp6 1 0 1 0
3_Nsp8 1 0 0 1
8_Nsp8 1 0 0 1
13_Nsp8 1 0 0 1
4_M 1 1 0 0
9_M 1 1 0 0
14_M 1 1 0 0
attr(,"assign")
[1] 0 1 1 1
attr(,"contrasts")
attr(,"contrasts")$treatment
[1] "contr.treatment"
edgeR models consider technical noise as Poisson with biological noise as over-dispersionDGEList
edgeR modelsedgeR is to use Quasi-Likelihood fits (Lund et al. 2012)
X
Coefficient: treatmentM
seqnames start end width strand gene_id gene_type
ENSG00000065609.14 chr6 83552880 83709691 156812 - ENSG00000065609.14 protein_coding
ENSG00000133878.9 chr8 33591330 33600023 8694 - ENSG00000133878.9 protein_coding
ENSG00000112837.17 chr6 84687351 84764598 77248 - ENSG00000112837.17 protein_coding
ENSG00000125730.16 chr19 6677704 6730562 52859 - ENSG00000125730.16 protein_coding
ENSG00000144810.16 chr3 99638475 99799226 160752 + ENSG00000144810.16 protein_coding
ENSG00000112562.18 chr6 168441151 168673445 232295 + ENSG00000112562.18 protein_coding
ENSG00000118137.9 chr11 116835751 116837950 2200 - ENSG00000118137.9 protein_coding
ENSG00000101335.10 chr20 36541497 36551447 9951 + ENSG00000101335.10 protein_coding
ENSG00000156113.23 chr10 76869601 77638369 768769 - ENSG00000156113.23 protein_coding
ENSG00000165118.15 chr9 83938311 83956986 18676 - ENSG00000165118.15 protein_coding
gene_name length logFC logCPM F PValue FDR
ENSG00000065609.14 SNAP91 6651 -4.298482 5.7855158 1244.7901 4.457146e-13 6.193650e-09
ENSG00000133878.9 DUSP26 1971 -6.406627 0.9996001 320.3749 8.859485e-11 6.155570e-07
ENSG00000112837.17 TBX18 8654 4.614608 1.3852329 463.1117 1.329742e-10 6.159367e-07
ENSG00000125730.16 C3 8328 7.404154 1.9905031 222.5631 7.853570e-10 2.728330e-06
ENSG00000144810.16 COL8A1 9408 1.897573 4.2552562 221.7729 7.221342e-09 2.006955e-05
ENSG00000112562.18 SMOC2 4032 2.975471 2.9960180 214.3021 8.720084e-09 2.019572e-05
ENSG00000118137.9 APOA1 1424 -1.909907 6.8931539 201.6088 1.216484e-08 2.414894e-05
ENSG00000101335.10 MYL9 2808 2.208139 9.0902053 192.7708 1.553354e-08 2.553771e-05
ENSG00000156113.23 KCNMA1 35644 2.906831 4.0355987 190.5689 1.653997e-08 2.553771e-05
ENSG00000165118.15 C9orf64 2754 5.728040 1.8379059 176.1002 2.011799e-08 2.556070e-05
res_M <- fit %>%
glmQLFTest(coef = "treatmentM") %>%
topTags(n = Inf) %>%
as.data.frame() %>%
as_tibble()
res_M# A tibble: 13,896 × 14
seqnames start end width strand gene_id gene_type gene_name length logFC logCPM F
<fct> <int> <int> <int> <fct> <chr> <chr> <chr> <int> <dbl> <dbl> <dbl>
1 chr6 83552880 83709691 156812 - ENSG000… protein_… SNAP91 6651 -4.30 5.79 1245.
2 chr8 33591330 33600023 8694 - ENSG000… protein_… DUSP26 1971 -6.41 1.00 320.
3 chr6 84687351 84764598 77248 - ENSG000… protein_… TBX18 8654 4.61 1.39 463.
4 chr19 6677704 6730562 52859 - ENSG000… protein_… C3 8328 7.40 1.99 223.
5 chr3 99638475 99799226 160752 + ENSG000… protein_… COL8A1 9408 1.90 4.26 222.
6 chr6 168441151 168673445 232295 + ENSG000… protein_… SMOC2 4032 2.98 3.00 214.
7 chr11 116835751 116837950 2200 - ENSG000… protein_… APOA1 1424 -1.91 6.89 202.
8 chr20 36541497 36551447 9951 + ENSG000… protein_… MYL9 2808 2.21 9.09 193.
9 chr10 76869601 77638369 768769 - ENSG000… protein_… KCNMA1 35644 2.91 4.04 191.
10 chr9 83938311 83956986 18676 - ENSG000… protein_… C9orf64 2754 5.73 1.84 176.
# ℹ 13,886 more rows
# ℹ 2 more variables: PValue <dbl>, FDR <dbl>
A for intensity averagesM for mean intensity differencesedgeR provides plotMD()x-axis and logFC on y-axis
res_M %>%
arrange(desc(PValue)) %>% # Why do this?
ggplot(aes(logCPM, logFC, colour = FDR < 0.05)) +
geom_point(alpha = 0.7) +
geom_smooth(se = FALSE, colour = 'royalblue3', method = "lm") +
geom_label_repel(
aes(label = gene_name),
data = . %>%
dplyr::filter(FDR < 0.05) %>%
arrange(desc(abs(logFC))) %>%
dplyr::slice(1:10),
size = 3, show.legend = FALSE
) +
scale_colour_manual(values = c("black", "red")) glmTreat()res_treatM %>%
arrange(desc(PValue)) %>% # Why do this?
ggplot(aes(logCPM, logFC, colour = FDR < 0.05)) +
geom_point(alpha = 0.7) +
geom_smooth(se = FALSE, colour = 'royalblue3', method = "lm") +
geom_label_repel(
aes(label = gene_name),
data = . %>%
dplyr::filter(FDR < 0.05) %>%
arrange(desc(abs(logFC))) %>%
dplyr::slice(1:10),
size = 3, show.legend = FALSE
) +
scale_colour_manual(values = c("black", "red")) cpm(dge_filter, log = TRUE) %>%
.[res_treatM$gene_id[1:9],] %>%
as_tibble(rownames = "gene_id") %>%
pivot_longer(-all_of("gene_id"), names_to = "id", values_to = "logCPM") %>%
left_join(dge$genes) %>%
left_join(dge$samples) %>%
mutate(gene_name = fct_inorder(gene_name)) %>%
ggplot(aes(treatment, logCPM, fill = treatment)) +
geom_boxplot() +
facet_wrap(~gene_name, scales = "free_y") +
scale_fill_brewer(palette = "Set1")pheatmap is a common resourcetidyverse \(\implies\) matrix and data.frame objectsannotation_col)
data.frame with rownamesDESeq2 (Love, Huber, and Anders 2014)S4 object more interconnected to other Bioconductor classesedgeR)library(DESeq2)
library(extraChIPs)
dds <- DESeqDataSetFromMatrix(
dge_filter$counts,
colData = samples,
rowData = dge_filter$genes %>%
makeGRangesFromDataFrame(keep.extra.columns = TRUE),
design = ~ treatment
)
is(dds)[1] "DESeqDataSet" "RangedSummarizedExperiment" "SummarizedExperiment"
[4] "RectangularData" "Vector" "Annotated"
[7] "vector_OR_Vector"
SummarizedExperiment objects are a core Bioconductor class colData assays NAMES elementMetadata metadata
"DataFrame" "Assays_OR_NULL" "character_OR_NULL" "DataFrame" "list"
assays can be added
colData holds the sample-level metadataRangedSummarizedExperiment objects are a subclass of SummarizedExperiment rowRanges colData assays
"GenomicRanges_OR_GRangesList" "DataFrame" "Assays_OR_NULL"
NAMES elementMetadata metadata
"character_OR_NULL" "DataFrame" "list"
SummarizedExperimentrowRanges allow metadata for each row of counts
GRanges with optional mcolsRangedSummarizedExperiment objects design dispersionFunction rowRanges
"ANY" "function" "GenomicRanges_OR_GRangesList"
colData assays NAMES
"DataFrame" "Assays_OR_NULL" "character_OR_NULL"
elementMetadata metadata
"DataFrame" "list"
colData(), rowData(), rowRanges()assay(), counts()DESeqDataSettidyomics specifically developed for SummarizedExperiment objectsSummarizedExperiment objectsDESeq() wraps multiple stepssizeFactors added to colData
rowData columnsclass: DESeqDataSet
dim: 13896 12
metadata(1): version
assays(5): counts logCPM mu H cooks
rownames(13896): ENSG00000000003.14 ENSG00000000005.6 ... ENSG00000288022.1
ENSG00000288066.1
rowData names(34): gene_id gene_type ... deviance maxCooks
colnames(12): 1_control 6_control ... 9_M 14_M
colData names(5): id replicate treatment group sizeFactor
[1] "Intercept" "treatment_M_vs_control" "treatment_Nsp6_vs_control"
[4] "treatment_Nsp8_vs_control"
log2 fold change (MLE): treatment M vs control
Wald test p-value: treatment M vs control
DataFrame with 13896 rows and 6 columns
baseMean log2FoldChange lfcSE stat pvalue padj
<numeric> <numeric> <numeric> <numeric> <numeric> <numeric>
ENSG00000000003.14 4918.2962 -0.0734152 0.0548639 -1.338132 1.80853e-01 0.444613885
ENSG00000000005.6 80.3602 -0.8692770 0.3071633 -2.830016 4.65457e-03 0.036358343
ENSG00000000419.12 1710.4219 0.3642342 0.0843509 4.318081 1.57392e-05 0.000353798
ENSG00000000457.14 551.4245 -0.0386804 0.1648748 -0.234605 8.14516e-01 0.923290340
ENSG00000000460.17 190.9980 0.1536008 0.1744186 0.880645 3.78510e-01 0.650754388
... ... ... ... ... ... ...
ENSG00000287966.1 43.9669 -0.5843052 0.448175 -1.3037444 0.19232074 0.4593943
ENSG00000287978.1 75.1925 0.0260297 0.412190 0.0631498 0.94964723 0.9831753
ENSG00000288012.1 32.8771 -0.2789995 0.462572 -0.6031481 0.54641019 0.7777428
ENSG00000288022.1 36.4753 -0.8772781 0.328395 -2.6714106 0.00755332 0.0523458
ENSG00000288066.1 438.5152 0.0771334 0.210274 0.3668230 0.71375102 0.8722577
res_deseq2_M %>%
as_tibble(rownames = "gene_id") %>%
left_join(as_tibble(genes)) %>%
arrange(pvalue) %>%
dplyr::select(range, starts_with("gene"), everything())# A tibble: 13,896 × 11
range gene_id gene_type gene_name baseMean log2FoldChange lfcSE stat pvalue padj length
<chr> <chr> <chr> <chr> <dbl> <dbl> <dbl> <dbl> <dbl> <dbl> <int>
1 chr6… ENSG00… protein_… SNAP91 2097. -4.29 0.123 -34.9 2.49e-267 3.45e-263 6651
2 chr3… ENSG00… protein_… COL8A1 727. 1.91 0.136 14.0 7.91e- 45 5.49e- 41 9408
3 chr6… ENSG00… protein_… SMOC2 302. 2.98 0.215 13.9 1.21e- 43 5.61e- 40 4032
4 chr1… ENSG00… protein_… KCNMA1 624. 2.91 0.212 13.8 3.59e- 43 1.25e- 39 35644
5 chr2… ENSG00… protein_… MYL9 20813. 2.22 0.162 13.7 1.13e- 42 3.14e- 39 2808
6 chr6… ENSG00… protein_… TBX18 97.4 4.65 0.340 13.7 1.41e- 42 3.26e- 39 8654
7 chr1… ENSG00… protein_… APOA1 4526. -1.90 0.143 -13.3 3.88e- 40 7.70e- 37 1424
8 chr9… ENSG00… protein_… BNC2 257. 3.50 0.265 13.2 5.34e- 40 9.28e- 37 15323
9 chr2… ENSG00… protein_… ADA2 734. -1.20 0.0960 -12.5 7.89e- 36 1.22e- 32 8704
10 chr6… ENSG00… protein_… COL21A1 343. -2.37 0.198 -12.0 5.38e- 33 7.48e- 30 6912
# ℹ 13,886 more rows
DESeq2 is different from edgeR’s range-based H0s-values (false sign or small)res_lfcshrink_M <- lfcShrink(
dds, "treatment_M_vs_control", lfcThreshold = log2(1.2)
)
res_lfcshrink_Mlog2 fold change (MAP): treatment M vs control
DataFrame with 13896 rows and 4 columns
baseMean log2FoldChange lfcSE svalue
<numeric> <numeric> <numeric> <numeric>
ENSG00000000003.14 4918.2962 -0.0675130 0.0529894 0.7792084
ENSG00000000005.6 80.3602 -0.6065355 0.3664508 0.0413765
ENSG00000000419.12 1710.4219 0.3378204 0.0851769 0.0458250
ENSG00000000457.14 551.4245 -0.0192876 0.1236106 0.6995773
ENSG00000000460.17 190.9980 0.0854692 0.1358403 0.5657148
... ... ... ... ...
ENSG00000287966.1 43.9669 -0.09359097 0.200388 0.4204071
ENSG00000287978.1 75.1925 0.00454662 0.168958 0.6258674
ENSG00000288012.1 32.8771 -0.03896311 0.176866 0.5545518
ENSG00000288022.1 36.4753 -0.56074752 0.410878 0.0593301
ENSG00000288066.1 438.5152 0.03309121 0.140818 0.6493741
res_lfcshrink_M %>%
as_tibble(rownames = "gene_id") %>%
left_join(as_tibble(genes)) %>%
arrange(svalue) %>%
dplyr::filter(svalue < 0.05) %>%
dplyr::select(range, starts_with("gene"), everything())# A tibble: 1,270 × 9
range gene_id gene_type gene_name baseMean log2FoldChange lfcSE svalue length
<chr> <chr> <chr> <chr> <dbl> <dbl> <dbl> <dbl> <int>
1 chr6:83552880-8370969… ENSG00… protein_… SNAP91 2097. -4.28 0.123 0 6651
2 chr22:17178790-172582… ENSG00… protein_… ADA2 734. -1.18 0.0966 0 8704
3 chr11:116835751-11683… ENSG00… protein_… APOA1 4526. -1.88 0.144 0 1424
4 chr6:56056590-5639409… ENSG00… protein_… COL21A1 343. -2.33 0.199 0 6912
5 chr8:33591330-3360002… ENSG00… protein_… DUSP26 73.3 -6.34 0.597 0 1971
6 chr9:128255829-128275… ENSG00… protein_… GOLGA2 1615. -0.942 0.0817 0 6961
7 chr6:84687351-8476459… ENSG00… protein_… TBX18 97.4 4.60 0.338 9.79e-39 8654
8 chr6:168441151-168673… ENSG00… protein_… SMOC2 302. 2.95 0.216 1.28e-36 4032
9 chr10:76869601-776383… ENSG00… protein_… KCNMA1 624. 2.88 0.212 5.28e-36 35644
10 chr9:16409503-1687084… ENSG00… protein_… BNC2 257. 3.46 0.266 1.29e-34 15323
# ℹ 1,260 more rows
DESeq2 were a result of shrinkageDGEList using the followingedgeR results using the followingDESeq2 data structures integrate nicely with other Bioconductor packagesedgeR can also handle SummarizedExperiment objects (mostly)DESeq2 also has many options for parameter/model choice not covered hereSummarizedExperiment objects share much with SingleCellExperiment objectsSeurat (IMHO)
Seurat is everywhere but I spend a lot of time debugging for people